In vitro pharmacological evaluation, phytochemical profiling, and in silico molecular docking of Duabanga grandiflora leaves and flowers

, ,


Research Articles | Published:

DOI: 10.1007/s42535-023-00742-x
First Page: 2457
Last Page: 2469
Views: 3460

Keywords: n Duabanga grandifloran , Antioxidant, Antidiabetic, Anti-inflammatory, HPTLC, n In silicon


Abstract


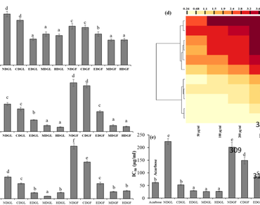
Duabanga grandiflora, a traditional medicinal plant of the Darjeeling Himalayan region, has not been broadly explored previously for its phytochemical and biological potential. The present study was performed to evaluate in vitro biological activities, the bioactive phytochemicals, and in silico molecular docking validation of D. grandiflora. For biological evaluation, TPC, TFC, the antioxidant (DPPH, metal chelating and reducing power), antidiabetic, anti-inflammatory activity, and cytotoxicity study were determined. The phytochemicals were measured by HPTLC analysis. The hydroalcoholic extract of leaves was found to have the highest phenolic (1093.87 ± 30.91 GAE/g DW) and the chloroform extracts of flowers were found to have the highest flavonoid (955.78 ± 37.01 mg QE/g DW) content. The result showed that hydroalcoholic extract exhibited significant DPPH in flowers (IC50:25.72 ± 1.58 µg/mL), metal chelating in leaves (IC50:71.25 ± 6.45 µg/mL), and α-amylase in flowers (IC50:26.24 ± 2.01 µg/mL) as compared to standards. The methanolic extract of leaves was considered to have significant anti-inflammatory activity (IC50:39.61 ± 2.17 µg/mL). Ethyl acetate extract of leaves exhibited high cytotoxicity activity (IC50: 7.29 µg/mL). HPTLC bioautography has identified gallic acid, caffeic acid, and naringenin as antioxidant potential. These compounds as identified by HPTLC were analyzed using in silico molecular docking studies to determine the binding affinity between the ligands and the enzymes (1J2E, 1PRG, 2H6D, 3E87, 3IOL, and 9ILB). It might be claimed from the study that D. grandiflora contains bioactive compounds which are responsible for not only antioxidant activity but also antidiabetic, anti-inflammatory activity, as indicated by in vitro and in silico studies.

n              Duabanga grandifloran            , Antioxidant, Antidiabetic, Anti-inflammatory, HPTLC, n              In silicon


References


Abdelli I, Benariba N, Adjdir S, Fekhikher Z, Daoud I, Terki M, Benramdane H, Ghalem S (2021) In silico evaluation of phenolic compounds as inhibitors of α-amylase and α-glucosidase. J Biomol Struct Dyn 39:816–822


Adusei S, Otchere JK, Oteng P, Mensah RQ, Tei-Mensah E (2019) Phytochemical analysis, antioxidant and metal chelating capacity of Tetrapleura tetraptera. Heliyon 5:e02762


Agatonovic-Kustrin S, Morton DW (2018) )HPTLC–Bioautographic methods for selective detection of the antioxidant and a-amylase inhibitory activity in plant extracts. MethodsX 5:797–802


Agatonovic-Kustrin S, Ramenskaya G, Kustrin E, Morton DW (2021) Characterisation of α-amylase inhibitors in marigold plants via bioassay-guided high-performance thin-layer chromatography and attenuated total reflectance–fourier transform infrared spectroscopy. J Chromatogr B 1173:122676


Alavi Rafiee S, Farhoosh R, Sharif A (2018) Antioxidant activity of gallic acid as affected by an extra carboxyl group than pyrogallol in various oxidative environments. Eur J Lipid Sci Technol 120:1800319


Amensour M, Sendra E, Abrini J, Bouhdid S, Pérez-Alvarez JA, Fernández-López J (2009) Total phenolic content and antioxidant activity of myrtle (Myrtus communis) extracts. Nat Prod Commun 4:1934578X0900400616


Amodeo V, Marrelli M, Pontieri V, Cassano R, Trombino S, Conforti F, Statti G (2019)Chenopodium album L. and Sisymbrium officinale (L.) Scop.: phytochemical content and in vitro antioxidant and anti-inflammatory potential. Plants 8:505


Ashraf GJ, Das P, Dua TK, Paul P, Nandi G, Sahu R (2021) High-performance thin‐layer chromatography based approach for bioassay and ATR–FTIR spectroscopy for the evaluation of antioxidant compounds from Asparagus racemosus Willd. Aerial parts. Biomed Chromatogr 35:e5230


Aydogdu A, Sumnu G, Sahin S (2019) Fabrication of gallic acid loaded Hydroxypropyl methylcellulose nanofibers by electrospinning technique as active packaging material. Carbohydr Polym 208:241–250


Bag BG, Barai AC (2020) Self-assembly of naturally occurring stigmasterol in liquids yielding a fibrillar network and gel. RSC Adv 10:4755–4762


Baishya T, Das P, Ashraf GJ, Dua TK, Paul P, Nandi G, Bhattacharya M, Sahu R (2022) Tissue specific changes of phytochemicals, antioxidant, antidiabetic and anti-inflammatory activities of tea [Camellia sinensis (L.)] extracted with different solvents. Zeitschrift für Naturforschung C


Blay V, Tolani B, Ho SP, Arkin MR (2020) High-throughput screening: today’s biochemical and cell-based approaches. Drug Discov Today 25:1807–1821


Das P, Ashraf GJ, Baishya T, Dua TK, Paul P, Nandi G, Sahu R (2022) High-performance thin‐layer chromatography coupled attenuated total reflectance‐Fourier‐transform infrared and NMR spectroscopy‐based identification of α‐amylase inhibitor from the aerial part of Asparagus racemosus Willd. Phytochem Anal


Eguchi N, Vaziri ND, Dafoe DC, Ichii H (2021) The role of oxidative stress in pancreatic β cell dysfunction in diabetes. Int J Mol Sci 22:1509


Farghadani R, Naidu R (2022) Curcumin as an enhancer of therapeutic efficiency of chemotherapy drugs in breast cancer. Int J Mol Sci 23:2144


Giri S, Dey G, Dua TK (2022) Antioxidant and antidiabetic activity of hydroalcoholic flower extract of Woodfordia fruticosa (L.) Kurz. J Drug Deliv Ther 12:1–6


González-Palma I, Escalona-Buendía HB, Ponce-Alquicira E, Téllez-Téllez M, Gupta VK, Díaz-Godínez G, Soriano-Santos J (2016) Evaluation of the antioxidant activity of aqueous and methanol extracts of Pleurotus ostreatus in different growth stages. Front Microbiol 7:1099


Gratieri T, Pinho LA, Oliveira MA, Sa-Barreto LL, Marreto RN, Silva IC, Gelfuso GM, Quintans JdSS, Quintans-Junior LJ, Cunha-Filho M (2020) Hydroxypropyl-β-cyclodextrin-complexed naringenin by solvent change precipitation for improving anti-inflammatory effect in vivo. Carbohydr Polym 231:115769


Ionita P (2021) The chemistry of DPPH· free radical and congeners. Int J Mol Sci 22:1545


Jahan T, Kundu P, Sultana T, Saha L, Chakraborty A, Islam MA, Sadhu SK (2021a) Phytochemical investigation and assessment of pharmacological properties of leaves of Duabanga grandiflora. J Med Plant 9:25–32


Jahan T, Kundu P, Sultana T, Saha L, Chakraborty A, Islam MA, Sadhu SK (2021b) Phytochemical investigation and assessment of pharmacological properties of leaves of Duabanga grandiflora. J Med Plants 9:25–32


Jiménez-Suárez V, Nieto-Camacho A, Jiménez-Estrada M, Alvarado Sanchez B (2016) Anti-inflammatory, free radical scavenging and alpha-glucosidase inhibitory activities of Hamelia patens and its chemical constituents. Pharm Biol 54:1822–1830


Kahkeshani N, Farzaei F, Fotouhi M, Alavi SS, Bahramsoltani R, Naseri R, Momtaz S, Abbasabadi Z, Rahimi R, Farzaei MH (2019) Pharmacological effects of gallic acid in health and diseases: a mechanistic review. Iran J Basic Med Sci 22:225


Krishna GA, Dhanya T, Shanty A, Raghu K, Mohanan P (2023) Transition metal complexes of imidazole derived Schiff bases: Antioxidant/anti-inflammatory/antimicrobial/enzyme inhibition and cytotoxicity properties. J Mol Struct 1274:134384


Lima VN, Oliveira-Tintino CD, Santos ES, Morais LP, Tintino SR, Freitas TS, Geraldo YS, Pereira RL, Cruz RP, Menezes IR (2016) Antimicrobial and enhancement of the antibiotic activity by phenolic compounds: gallic acid, caffeic acid and pyrogallol. Microb Pathog 99:56–61


Lopez-Corona AV, Valencia-Espinosa I, González-Sánchez FA, Sánchez-López AL, Garcia-Amezquita LE, Garcia-Varela R (2022) Antioxidant, anti-inflammatory and cytotoxic activity of phenolic compound family extracted from raspberries (Rubus idaeus): a General Review. Antioxidants 11:1192


Mechchate H, Es-Safi I, Louba A, Alqahtani AS, Nasr FA, Noman OM, Farooq M, Alharbi MS, Alqahtani A, Bari A (2021) In vitro alpha-amylase and alpha-glucosidase inhibitory activity and in vivo antidiabetic activity of Withania frutescens L. Foliar extract. Molecules 26:293


Murtaza G, Karim S, Akram MR, Khan SA, Azhar S, Mumtaz A, Bin Asad MHH (2014) Caffeic acid phenethyl ester and therapeutic potentials. Biomed Res Int 2014


Nagula RL, Wairkar S (2020) Cellulose microsponges based gel of naringenin for atopic dermatitis: design, optimization, in vitro and in vivo investigation. Int J Biol Macromol 164:717–725


Nemudzivhadi V, Masoko P (2014) In Vitro Assessment of cytotoxicity, antioxidant, and anti-inflammatory activities of Ricinus communis (Euphorbiaceae) Leaf extracts. Evid Based Complement Alternat Med 2014:625961


Nunes C, Maricato É, Cunha Â, Nunes A, da Silva JAL, Coimbra MA (2013) Chitosan–caffeic acid–genipin films presenting enhanced antioxidant activity and stability in acidic media. Carbohydr Polym 91:236–243


Rana A, Samtiya M, Dhewa T, Mishra V, Aluko RE (2022) Health benefits of polyphenols: a concise review. J Food Biochem :e14264


Rjeibi I, Hentati F, Feriani A, Hfaiedh N, Delattre C, Michaud P, Pierre G (2019) Novel antioxidant, anti-α-amylase, anti-inflammatory and antinociceptive water-soluble polysaccharides from the aerial part of Nitraria retusa. Foods 9:28


Salehi B, Fokou PVT, Sharifi-Rad M, Zucca P, Pezzani R, Martins N, Sharifi-Rad J (2019) The therapeutic potential of naringenin: a review of clinical trials. Pharmaceuticals 12:11


Sharmin S, Sifat T, Azad A, Reza AA, Islam MK, Sayeed MA (2020) Preliminary phyto-pharmacological investigation of Duabanga grandiflora (Roxb. Ex DC.) Walpers. Bangladesh Pharmacol J 23:54–60


Trott O, Olson AJ (2010) AutoDock Vina: improving the speed and accuracy of docking with a new scoring function, efficient optimization, and multithreading. J Comput Chem 31:455–461


Ullah H, Zaman S, Juhara F, Akter L, Tareq SM, Masum EH, Bhattacharjee R (2014) Evaluation of antinociceptive, in-vivo & in-vitro anti-inflammatory activity of ethanolic extract of Curcuma zedoaria rhizome. BMC Complement Altern Med 14:1–12


Vadivelan R, Krishnan RG, Kannan R (2019) Antidiabetic potential of Asparagus racemosus Willd leaf extracts through inhibition of α-amylase and α-glucosidase. J Tradit Complement Med 9:1–4


Yang L-J, Ma S-X, Zhou S-Y, Chen W, Yuan M-W, Yin Y-Q, Yang X-D (2013) Preparation and characterization of inclusion complexes of naringenin with β-cyclodextrin or its derivative. Carbohydr Polym 98:861–869

 


Author Information


Department of Pharmaceutical Technology, University of North Bengal, Darjeeling, India