Bioconversion of organic waste into compost using Metaphire nanaoensis

*Article not assigned to an issue yet

, , , ,


Research Articles | Published:

E-ISSN: 2229-4473.
Website: www.vegetosindia.org
Pub Email: contact@vegetosindia.org
DOI: 10.1007/s42535-026-01676-w
First Page: 0
Last Page: 0
Views: 363

Keywords: Organic waste management, Vermicomposting, Physicochemical characterization, Nutrient profiling, Sustainability


Abstract


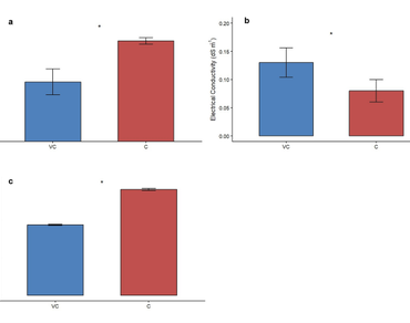
This study investigates the bioconversion of lignocellulosic vegetable waste into a nutrient-rich organic amendment using the indigenous earthworm Metaphire nanaoensis. A mixture of vegetable waste and cow dung (1:1 ratio) underwent 20 days of pre-decomposition, followed by 60 days of vermicomposting. The final vermicompost was evaluated against traditional compost (control) based on physicochemical and biological parameters. Results revealed a significant increase in total nitrogen, phosphorus, potassium, calcium, zinc, magnesium and sulfur in the vermicompost, alongside a reduction in total organic carbon, pH and C/N ratio. Microbial populations, including nitrogen-fixing bacteria, phosphate-solubilizing bacteria and potassium-solubilizing bacteria were elevated by 2.5-fold, threefold and 2.2-fold, respectively, compared to the control. Scanning electron microscopy showed a disorganized, porous and fine-textured structure in the vermicompost. The findings highlight vermicomposting as a sustainable, zero-waste approach for converting organic residues into value-added biofertilizers.

Organic waste management, Vermicomposting, Physicochemical characterization, Nutrient profiling, Sustainability


References


Balachandar R, Biruntha M, Yuvaraj A, Thangaraj R, Subbaiya R, Govarthanan M, Karmegam N (2021) Earthworm intervened nutrient recovery and greener production of vermicompost from Ipomoea staphylina–an invasive weed with emerging environmental challenges. Chemosphere 263:128080. https://doi.org/10.1016/j.chemosphere.2020.128080


Bhat SA, Singh J, Vig AP (2017) Instrumental characterization of organic wastes for evaluation of vermicompost maturity. J Anal Sci Technol 8(1):2. https://doi.org/10.1186/s40543-017-0112-2


Bhattacharya SS, Kim KH, Ullah MA, Goswami L, Sahariah B, Bhattacharyya P, Hwang OH (2016) The effects of composting approaches on the emissions of anthropogenic volatile organic compounds: a comparison between vermicomposting and general aerobic composting. Environ Pollut 208:600–607. https://doi.org/10.1016/j.envpol.2015.10.034


Biruntha M, Karmegam N, Archana J, Selvi BK, Paul JAJ, Balamuralikrishnan B, Ravindran B (2020) Vermiconversion of biowastes with low-to-high C/N ratio into value added vermicompost. Bioresource Technol 297:122398. https://doi.org/10.1016/j.biortech.2019.122398


Bora P, Devi NN (2024) Bioremediation of heavy metal lead (Pb) by enteric bacteria and metagenomic analysis of an endogenic earthworm Metaphire nanaoensis found in the semi-urban paddy fields of Kamrup District, Assam. Water Air Soil Pollut 235(6):367. https://doi.org/10.1007/s11270-024-07170-w


Boruah T, Barman A, Kalita P, Lahkar J, Deka H (2019) Vermicomposting of citronella bagasse and paper mill sludge mixture employing Eisenia fetida. Bioresource Technol 294:122147. https://doi.org/10.1016/j.biortech.2019.122147


Bray RH, Kurtz LT (1945) Determination of total, organic, and available forms of phosphorus in soils. Soil Sci 59(1):39–46


Cáceres R, Malińska K, Marfà O (2018) Nitrification within composting: a review. Waste Manag 72:119–137. https://doi.org/10.1016/j.wasman.2017.10.049


Central Pollution Control Board (CPCB) (2021) Annual reports. Ministry of Environment, Forest and Climate Change, Government of India. https://cpcb.nic.in/annual-report.php


Devi C, Khwairakpam M (2020) Feasibility of vermicomposting for the management of terrestrial weed Ageratum conyzoides using earthworm species Eisenia fetida. Environ Technol Innov 18:100696. https://doi.org/10.1016/j.eti.2020.100696


FAO (2024) FAOSTAT statistical database. Food and Agriculture Organization of the United Nations, Rome. Available at https://www.fao.org/faostat/


Ghosh S, Goswami AJ, Ghosh GK, Pramanik P (2018) Quantifying the relative role of phytase and phosphatase enzymes in phosphorus mineralization during vermicomposting of fibrous tea factory waste. Ecol Eng 116:97–103. https://doi.org/10.1016/j.ecoleng.2018.03.001


Gong X, Li S, Chang SX, Wu Q, Cai L, Sun X (2019) Alkyl polyglycoside and earthworm (Eisenia fetida) enhance biodegradation of green waste and its use for growing vegetables. Ecotoxicol Environ Saf 167:459–466. https://doi.org/10.1016/j.ecoenv.2018.10.063


Gupta R, Garg VK (2008) Stabilization of primary sewage sludge during vermicomposting. J Hazard Mater 153(3):1023–1030. https://doi.org/10.1016/j.jhazmat.2007.09.055


Hussain N, Abbasi T, Abbasi SA (2016) Vermiremediation of an invasive and pernicious weed salvinia (Salvinia molesta). Ecol Eng 91:432–440. https://doi.org/10.1016/j.ecoleng.2016.03.010


Karmegam N, Daniel T (2009) Investigating efficiency of Lampito mauritii (Kinberg) and Perionyx ceylanensis Michaelsen for vermicomposting of different types of organic substrates. Environmentalist 29(3):287–300. https://doi.org/10.1007/s10669-008-9195-z


Khwairakpam M, Bhargava R (2009) Vermitechnology for sewage sludge recycling. J Hazard Mater 161(2–3):948–954. https://doi.org/10.1016/j.jhazmat.2008.04.088


Lim PN, Wu TY, Shyang Sim EY, Lim SL (2011) The potential reuse of soybean husk as feedstock of Eudrilus eugeniae in vermicomposting. J Sci Food Agric 91(14):2637–2642. https://doi.org/10.1002/jsfa.4504


Lim SL, Wu TY (2015) Determination of maturity in the vermicompost produced from palm oil mill effluent using spectroscopy, structural characterization and thermogravimetric analysis. Ecol Eng 84:515–519. https://doi.org/10.1016/j.ecoleng.2015.09.050


Malińska K, Zabochnicka-Świątek M, Cáceres R, Marfà O (2016) The effect of precomposted sewage sludge mixture amended with biochar on the growth and reproduction of Eisenia fetida during laboratory vermicomposting. Ecol Eng 90:35–41. https://doi.org/10.1016/j.ecoleng.2016.01.042


Negi R, Suthar S (2018) Degradation of paper mill wastewater sludge and cow dung by brown-rot fungi Oligoporus placenta and earthworm (Eisenia fetida) during vermicomposting. J Clean Prod 201:842–852. https://doi.org/10.1016/j.jclepro.2018.08.068


Parthasarathi K, Ranganathan LS (2000) Aging effect on enzyme activities in pressmud vermicasts of Lampito mauritii (Kinberg) and Eudrilus eugeniae (Kinberg). Biol Fertil Soils 30(4):347–350. https://doi.org/10.1007/s003740050014


Patil SS, Kasture MC, Dhopavkar RV (2018) Micro-nutrient enriched vermicompost by coconut coir waste. Int J Curr Microbiol App Sci 7(06):2352–2361. https://doi.org/10.20546/ijcmas.2018.706.281


Pooja M, Singh AK, Shukla NK, Ranjan A (2017) Release pattern of phosphorus and sulphur in soil influenced by vermicompost and chemical fertilizers. J Prog Sci 8(1&2):52–57


Qiang ZY, Li G, Menezes-Blackburn D, Yuan ZF, Ge T, Capowiez Y, Guan DX (2026) Phosphorus dynamics in the drilosphere: unraveling earthworm-mediated soil biogeochemistry. Crit Rev Environ Sci Technol 56(2):87–105. https://doi.org/10.1080/10643389.2025.2585932


Ravindran B, Contreras-Ramos SM, Sekaran G (2015) Changes in earthworm gut associated enzymes and microbial diversity on the treatment of fermented tannery waste using epigeic earthworm Eudrilus eugeniae. Ecol Eng 74:394–401. https://doi.org/10.1016/j.ecoleng.2014.10.014


Rehman SU, De Castro F, Aprile A, Benedetti M, Fanizzi FP (2023) Vermicompost: enhancing plant growth and combating abiotic and biotic stress. Agronomy 13(4):1134. https://doi.org/10.3390/agronomy13041134


Sahoo A, Dwivedi A, Madheshiya P, Kumar U, Sharma RK, Tiwari S (2024) Insights into the management of food waste in developing countries: with special reference to India. Environ Sci Pollut Res 31(12):17887–17913. https://doi.org/10.1007/s11356-023-27901-6


Singh A, Karmegam N, Singh GS, Bhadauria T, Chang SW, Awasthi MK, Ravindran B (2020) Earthworms and vermicompost: an eco-friendly approach for repaying nature’s debt. Environ Geochem Health 42(6):1617–1642. https://doi.org/10.1007/s10653-019-00510-4


Singh M, Singh M, Singh SK (2024) Tackling municipal solid waste crisis in India: insights into cutting-edge technologies and risk assessment. Sci Total Environ 917:170453. https://doi.org/10.1016/j.scitotenv.2024.170453


Sultana M, Jahiruddin M, Islam MR, Rahman MM, Abedin MA, Al Mahmud A (2021) Nitrogen, phosphorus and sulphur mineralization in soil treated with amended municipal solid waste compost under aerobic and anaerobic conditions. Int J Recycl Org Waste Agric 10(3):245–256


Suthar S (2009) Vermicomposting of vegetable-market solid waste using Eisenia fetida: impact of bulking material on earthworm growth and decomposition rate. Ecol Eng 35(5):914–920. https://doi.org/10.1016/j.ecoleng.2008.12.019


Telila Z, Shifera Y (2025) Harnessing Eisenia fetida for the vermconversion of biodegradable wastes in Dambi Dollo town, Ethiopia. Sci Rep 15(1):44375. https://doi.org/10.1038/s41598-025-28044-z


Thi NBD, Kumar G, Lin CY (2015) An overview of food waste management in developing countries: current status and future perspective. J Environ Manage 157:220–229. https://doi.org/10.1016/j.jenvman.2015.04.022


Walkley A, Black IA (1934) An examination of the Degtjareff method for determining soil organic matter, and a proposed modification of the chromic acid titration method. Soil Sci 37(1):29–38


Yatoo AM, Bhat SA, Ali MN, Baba ZA, Zaheen Z (2022) Production of nutrient-enriched vermicompost from aquatic macrophytes supplemented with kitchen waste: assessment of nutrient changes, phytotoxicity, and earthworm biodynamics. Agronomy Basel 12(6):1303. https://doi.org/10.3390/agronomy12061303


Yeboah SIIK, Sekyiwaah AN, Amoah GR, Martey AA, Manu OA, Amo EK, Zorngo AA (2025) Enhancing organic waste management in Ghana through vermicomposting with Eudrilus eugeniae: implications for sustainable agriculture and waste reduction. Kuwait J Sci 52(3):100421. https://doi.org/10.1016/j.kjs.2025.100421


Zhang L, Sun X (2016) Improving green waste composting by addition of sugarcane bagasse and exhausted grape marc. Bioresour Technol 218:335–343. https://doi.org/10.1016/j.biortech.2016.06.097

 


Author Information


Department of Molecular Biology and Biotechnology, Cotton University, Guwahati, India