Determination of chemical and bioactive properties, phenolic profiles and nutrient elements of the leaf, stem, crown-neck, root (inner and outer), tail and peel parts of of sugar beet plants

*Article not assigned to an issue yet

, , , ,


Research Articles | Published:

E-ISSN: 2229-4473.
Website: www.vegetosindia.org
Pub Email: contact@vegetosindia.org
DOI: 10.1007/s42535-026-01672-0
First Page: 0
Last Page: 0
Views: 55

Keywords: Sugar beet, Parts, Bioactive compounds, Antioxidant capacity, Phenolic profiles, Minerals


Abstract


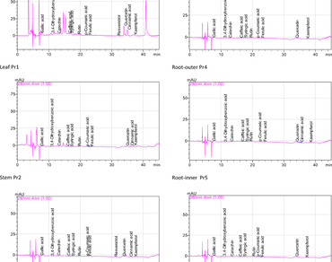
The total phenolic and flavonoid amounts of the parts of sugar beets were recorded to be between 10.04 (root-outer) and 353.17 mg GAE/100 g (leaf) to 41.19 (root-inner) and 800.71 mg/100 g (leaf), respectivley. Also, antioxidant capacity values of sugar beet parts were monitored to be between 2.05 (root-outer) and 6.99 mmol/kg (leaf). Gallic and 3,4-dihydroxybenzoic acid results of the parts of sugar beets were recorded to be between 10.56 (root-inner) and 18.24 (peel) to 1.46 (root-inner) and 31.48 mg/100 g (leaf), respectively. While gallic acid contents of the stem and underground parts of sugar beet increased compared to sugar beet leaves, the amounts of other phenolic components decreased significantly. The highest protein content was detected in beet leaves and stems, followed by root-inner, peel, crown + neck and tail in descending order. Dominant macro element contents of sugarbeet parts were P, K, Ca, Mg and S. Potassium quantities of sugar beet parts were reported to be between 4741.59 (root-outer) and 27,670.12 mg/kg (stem). The results obtained showed significant variations depending on the beet parts. In general, the macro and micro element amounts of the leaves and stems of the beets were higher than the underground parts of the beets.

Sugar beet, Parts, Bioactive compounds, Antioxidant capacity, Phenolic profiles, Minerals


References


AOAC (2000) Official methods of analysis. Association of Official Analytical Chemists, Washington, DC


Arjeh E, Khodaei SM, Barzegar M, Pirsa S, Karimi Sani I, Rahati S, Mohammadi F (2022) Phenolic compounds of sugar beet (Beta vulgaris L.): separation method, chemical characterization, and biological properties. Food Sci Nutr 10:4238–4246


Beevi SS, Narasu ML, Gowda BB (2010) Polyphenolics profile, antioxidant and radical scavenging activity of leaves and stem of Aphanus sativus L. Plant Foods Hum Nutr 65:8–1


Bong WC, Vanhanen LP, Savage GP (2018) Addition of calcium compounds to reduce soluble oxalate in foods. Food Chem 244:243–249. https://doi.org/10.1016/j.foodchem.2017.10.047


Chihoub W, Dias MI, Barros L, Calhelha RC, Alves MJ, Harzallah-Skhiri F, Ferreira ICFR (2019) Valorisation of the green waste parts from turnip, radish and wild cardoon: nutritional value, phenolic profile and bioactivity evaluation. Food Res Int 126:108651


Ebrahimi P, Khamirikar F, Lante A (2024) Unlocking the biorefinery approaches to valorize sugar beet leaves (B. vulgaris L.) for food industry applications: a critical review. Food Res Int 197(Pt 1):115145. https://doi.org/10.1016/j.foodres.2024.115145


Grubben GJH, Denton OA (2004) Plant resources of Tropical Africa 2. Vegetables 667.


Hoffmann CM, Huijbregts T, Swaaij N, Jansen R (2009) Impact of different environments in Europe on yield and quality of sugar beet genotypes. Eur J Agron 30:17–26


Hogan S, Zhang L, Li J, Zoecklein B, Zhou K (2009) Antioxidant properties and bioactive components of Norton (Vitis aestivalis) and Cabernet Franc (Vitis vinifera) wine grapes. LWT - Food Sci Technol 42:1269–1274


Holasová M, Fiedlerová V (2011) Porovnání metod stanovení antioxidační aktivity v ovocných a zeleninových šťávách (Comparison of methods antioxidant activity determination in the fruit and vegetable juice). Chem Listy 105:766–772


Ismail A, Marjan ZM, Foong CW (2004) Total antioxidant activity and phenolic content in selected vegetables. Food Chem 87:581–586


Kahkonen MP, Hopia AI, Vuorela HJ, Rauha JP, Pihlaja K, Kujala TS, Heinonen M (1999) Antioxidant activity of plant extracts containing phenolic compounds. J Agric Food Chem 47:3954–3962


Kavalcová P, Bystrická J, Tomáš J, Karovičová J, Kovarovič J, Lenková M (2015) The content of total polyphenols and antioxidant activity in red beetroot. Potravinarstvo 9:77–83


Koprivica GB, Pezo LL, Ćurčić BL, Lević LB, Šuput DZ (2014) Optimization of osmotic dehydration of apples in sugar beet molasses. J Food Process Preserv 38(4):1705–1715


Kujala TS, Loponen JM, Klika KD, Pihlaja K (2000) Phenolics and betacyanins in red beetroot (Beta vulgaris) root: distribution and effect of cold storage on the content of total phenolics and three individual compounds. J Agric Food Chem 48:5338–5342


Lee SK, Mbwambo ZH, Chung HS, Luyengi L, Games EJC, Mehta RG (1998) Evaluation of the antioxidant potential of natural products. Comb Chem High Throughput Screen 1:35–46


Lemos MF, Lemos MF, Pacheco HP, Guimarães AC, Fronza M, Endringer DC, Scherer R (2017) Seasonal variation affects the composition and antibacterial and antioxidant activities of Thymus vulgaris. Ind Crops Prod 95:543–548


Mikołajczyk-Bator K, Błaszczyk A, Czyżniejewski M, Kachlicki P (2016) Identification of saponins from sugar beet (Beta vulgaris) by low and high-resolution HPLC–MS/MS. J Chromatogr B Anal Technol Biomed Life Sci 1029:36–47


Mohammed EA, Abdalla IG, Alfawaz MA, Mohammed MA, Al Maiman SA, Osman MA, Yagoub AEA, Hassan AB (2022) Effects of extraction solvents on the total phenolic content, total flavonoid content, and antioxidant activity in the aerial part of root vegetables. Agriculture Basel 12:1820


Mubarak MU, Zahir M, Ahmad S, Wakeel A (2016) Sugar beet yield and industrial sugar contents improved by potassium fertilization under scarce and adequate moisture conditions. J Integr Agric 15(11):2620–2626


Nagy Z, Bianu F, Nagy M (1983) Determination of optimum harvesting date of sugar beet cultivars at present in cultivation. Field Crops Abstr 36:186


Negi PS, Jayaprakasha GK, Jena BS (2003) Antioxidant and antimutagenic activities of pomegranate peel extracts. Food Chem 80:393–397


Ninfali P, Angelino D (2013) Nutritional and functional potential of Beta vulgaris cicla and rubra. Fitoterapia 89:188–199. https://doi.org/10.1016/j.fitote.2013.06.004


Nollet LM, Gutierrez-Uribe JA (2018) Phenolic compounds in food: characterization and analysis. CRC Press. USA.


Noonan SC, Savage GP (1999) Oxalate content of foods and its effect on humans. Asia Pac J Clin Nutr 8(1):64–74


Okpuzar J, Ogbunugafor H, Kareem GK, Igwo-Ezikpe MN (2009) In vitro investigation of antioxidant phenolics compounds in extract of Sennealata. Res J Phytochem 3:68–76


Olumese FE, Oboh HA (2016) Antioxidant and Antioxidant capacity of raw and processed Nigerian Beetroot (Beta vulgaris). Nigerian J Basic Appl Sci 24(1): 35–40.


Özceylan MR (1986) Samsunda Yazlık ve Kışlık Ekimlerin Şeker Pancarının (Beta vulgaris L.) Verimi ve Bazı Özellikleri Üzerinde Etkileri, Yüksek Lisans Tezi, On Dokuz Mayıs Üniversitesi Samsun, Türkiye.


Pandey KB, Rizvi SI (2009) Plant polyphenols as dietary antioxidants in human health and disease. Oxid Med Cell Longev 2:270–278


Škrbić B, Ðurišić-Mladenović N, Mačvanin N (2010) Determination of metal contents in sugar beet (Beta vulgaris) and its products: empirical and chemometrical approach. Food Sci Technol Res 16(2):123–134


Valli V, Gómez-Caravaca AM, Di Nunzio M, Danesi F, Caboni MF, Bordoni AJ (2012) Sugar cane and sugar beet molasses, antioxidant-rich alternatives to refined sugar. J Agric Food Chem 60(51):12508–12515


Vulić J, Čanadanović-Brunet J, Ćetković G, Tumbas V, Djilas S, Četojević-Simin D, Čanadanović V (2012) Antioxidant and cell growth activities of beet root pomace extracts. J Funct Foods 4:670–678


Wootton-Beard PC, Ryan L (2011) A beetroot juice shot is a significant and convenient source of bioaccessible antioxidants. J Funct Foods 3:329–334


Yoo KM, Lee KW, Park JB, Lee HJ, Hwang IK (2004) Variation in major antioxidants and total antioxidant activity of Yuzu (Citrusjunos SiebexTanaka) during maturation and between cultivars. J Agric Food Chem 52:5907–5913


Mohdaly AAA, Sarhan MA, Mahmoud A, Ramadan MF, Smetanska I (2010) Antioxidant efficacy of potato peels and sugar beet pulp extracts in vegetable oils protection.Food Chemistry 123:(4)1019–1026


Vinson JA, Hao Y, Su X, Zubik L (1998) Phenol antioxidant quantity and quality in foods: vegetables. J Agric Food Chem 46(9):3630–3634


Vattem D, Shetty K (2002) Solid-state production of phenolic antioxidants from cranberry pomace by Rhizopus oligosporus. Food Biotechnol 16(3):189–210


Sultana B, Anwar F, Ashraf M (2009) Effect of extraction solvent/technique on the antioxidant activity of selected medicinal plant extracts. Molecules 14(6):2167–2180


Skujins S (1998) Handbook for ICP-AES (varian-vista). A short guide to vista series ICP-AES operation. Varian Int. AG, Zug, Version 1(0)


Čanadanović-Brunet JM, Savatović SS, Ćetković GS, Vulić JJ, Djilas SM, Markov SL, Cvetković DD (2011) Antioxidant and antimicrobial activities of beet root pomace extracts. Czech journal of food sciences 29(6):575

 


Author Information


Department of Food Science & Nutrition, College of Food and Agricultural Sciences, King Saud University, Riyadh, Saudi Arabia