Hyperspectral reflectance as a valuable technology for non-destructive estimation of leaf mineral elements concentration of Olea europaea L. under drought and salinity stresses

*Article not assigned to an issue yet

, , , ,


Research Articles | Published:

E-ISSN: 2229-4473.
Website: www.vegetosindia.org
Pub Email: contact@vegetosindia.org
DOI: 10.1007/s42535-026-01646-2
First Page: 0
Last Page: 0
Views: 87

Keywords: Climate change, Hyperspectral remote sensing, n Olea europaea L., Plant nutrition, Vegetation indices, Plant phenotyping


Abstract


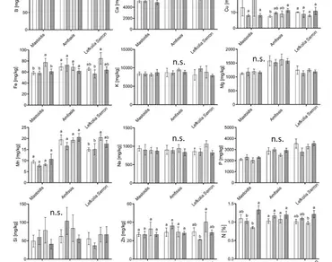
The cultivation of olive trees is concentrated in regions with a Mediterranean climate commonly characterized by drought and relatively high soil salinity. Scarce water supply, along with the accumulation of Sodium (Na+) ions in plant tissues, triggers various changes in plant mineral element concentrations. Three months of experimental treatments, consisting of deficient irrigation and saline water application on potted trees of three Greek Olea europaea L. cultivars (‘Lefkolia Serron’, ‘Amfissis’ and ‘Mastoidis’), led to statistically significant changes in Calcium (Ca), Copper (Cu), Iron (Fe), Manganese (Mn), Zinc (Zn), and Nitrogen (N) leaf concentrations. The correlation of hyperspectral leaf reflectance with Potassium (K) and Magnesium (Mg) appeared to be significant, which indicates a potential application for early and non-destructive detection of plant nutritional status. Additionally, customized Vegetation Indices, created as normalized ratios between wavelengths with the highest and lowest correlation with each element concentration, resulted in higher correlations than conventional, widely used indices (NDVI, WI, and PRI), a finding that emphasizes the importance of using individualized rather than generalized indices.

Climate change, Hyperspectral remote sensing, n                     Olea europaea L., Plant nutrition, Vegetation indices, Plant phenotyping


References


Angelopoulos K, Dichio B, Xiloyannis C (1996) Inhibition of photosynthesis in olive trees (Olea europaea L.) during water stress and rewatering. J Exp Bot 47:1093–1100. https://doi.org/10.1093/jxb/47.8.1093


Aragüés R, Puy J, Royo A, Espada JL (2005) Three-year field response of young olive trees (Olea europaea L., cv. Arbequina) to soil salinity: trunk growth and leaf ion accumulation. Plant Soil 271:265–273. https://doi.org/10.1007/s11104-004-2695-9


ASD Inc. (2010) FieldSpec® 3 User Manual; ASD Document 600540 Rev. J. Available online: www.asdi.com


Atzberger C, Jarmer T, Schlerf M, Werner W (2003) Spectroradiometric determination of wheat bio-physical variables. Remote Sens Transit 473–482


Barranco D, Cimato A, Fiorino P, Rallo L, Castañeda C, Serafín F (2000) World catalogue of olive varieties (English). International Olive Council; Consejo Oleícola Internacional, Madrid


Ben Abdallah M, Methenni K, Nouairi I, Zarrouk M, Youssef NB (2017) Drought priming improves subsequent more severe drought in a drought-sensitive cultivar of olive cv. Chétoui. Sci Hortic 221:43–52. https://doi.org/10.1016/J.SCIENTA.2017.04.021


Bhivare VN, Nimbalkar JD (1984) Salt stress effects on growth and mineral nutrition of French beans. Plant Soil 80:91–98. https://doi.org/10.1007/BF02232942


Boshkovski B, Tzerakis C, Doupis G, Zapolska A, Kalaitzidis C, Koubouris G (2020) Relationships of spectral reflectance with plant tissue mineral elements of common bean (Phaseolus vulgaris L.) under drought and salinity stresses. Commun Soil Sci Plant Anal. https://doi.org/10.1080/00103624.2020.1729789


Calderón R, Navas-Cortés JA, Zarco-Tejada PJ (2015) Early detection and quantification of Verticillium wilt in olive using hyperspectral and thermal imagery over large areas. Remote Sens 7:5584–5610. https://doi.org/10.3390/rs70505584


Chaves MM, Flexas J, Pinheiro C (2009) Photosynthesis under drought and salt stress: regulation mechanisms from whole plant to cell. Ann Bot 103:551–560. https://doi.org/10.1093/aob/mcn125


Chartzoulakis KS (2005) Salinity and olive: growth, salt tolerance, photosynthesis and yield. Agric Water Manage 78:108–121. https://doi.org/10.1016/J.AGWAT.2005.04.025


Cordovilla MP, Ocaña A, Ligero F, Lluch C (1995) Salinity effects on growth analysis and nutrient composition in four grain legumes -rhizobium symbiosis. J Plant Nutr 18:1595–1609. https://doi.org/10.1080/01904169509365006


Daliakopoulos IN, Tsanis IK, Koutroulis A, Kourgialas NN, Varouchakis AE, Karatzas GP, Ritsema CJ (2016) The threat of soil salinity: a European scale review. Sci Total Environ 573:727–739. https://doi.org/10.1016/j.scitotenv.2016.08.054


El-Fouly MM, Mobarak ZM, Salama ZA (2011) Micronutrients (Fe, Mn, Zn) foliar spray for increasing salinity tolerance in wheat Triticum aestivum L. Afr J Plant Sci 5:314–322


Gaines TP, Mitchell GA (1979) Boron determination in plant tissue by the azomethine H method. Commun Soil Sci Plant Anal 10:1099–1108. https://doi.org/10.1080/00103627909366965


Gamon JA, Peñuelas J, Field CB (1992) A narrow-waveband spectral index that tracks diurnal changes in photosynthetic efficiency. Remote Sens Environ 41:35–44. https://doi.org/10.1016/0034-4257(92)90059-S


Gengmao Z, Yu H, Xing S, Shihui L, Quanmei S, Changhai W (2015) Salinity stress increases secondary metabolites and enzyme activity in safflower. Ind Crops Prod 64:175–181. https://doi.org/10.1016/J.INDCROP.2014.10.058


Guerfel M, Ouni Y, Boujnah D, Zarrouk M (2009) Photosynthesis parameters and activities of enzymes of oxidative stress in two young ‘Chemlali’ and ‘Chetoui’ olive trees under water deficit. Photosynthetica 47:340–346. https://doi.org/10.1007/s11099-009-0054-z


Hernández EI, Melendez-Pastor I, Navarro-Pedreño J, Gómez I (2014) Spectral indices for the detection of salinity effects in melon plants. Sci Agric 71:324–330. https://doi.org/10.1590/0103-9016-2013-0338


Kaya C, Tuna AL, Ashraf M, Altunlu H (2007) Improved salt tolerance of melon (Cucumis melo L.) by the addition of proline and potassium nitrate. Environ Exp Bot 60:397–403. https://doi.org/10.1016/J.ENVEXPBOT.2006.12.008


Kjeldahl C (1883) A new method for the determination of nitrogen in organic matter. Z Anal Chem 22:366


Koubouris GC, Tzortzakis N, Kourgialas NN, Darioti M, Metzidakis I (2015) Growth, photosynthesis and pollen performance in saline water treated olive plants under high temperature. Int J Plant Biol. https://doi.org/10.4081/pb.2015.6038


Koutroulis AG, Vrohidou A-EK, Tsanis IK (2011) Spatiotemporal characteristics of meteorological drought for the Island of Crete. J Hydrometeorol 12:206–226


Li M, Chu R, Yu Q, Islam A, Chou S, Shen S et al (2018) Evaluating structural, chlorophyll-based and photochemical indices to detect summer maize responses to continuous water stress. Water 10:500. https://doi.org/10.3390/w10040500


Loumou A, Giourga C (2003) Olive groves: “the life and identity of the Mediterranean.” Agric Human Values 20:87–95. https://doi.org/10.1023/A:1022444005336


Lionello P, Malanotte-Rizzoli P, Boscolo R (2006) Mediterranean climate variability. Elsevier, Amsterdam, The Netherlands


Marino G, Pallozzi E, Cocozza C, Tognetti R, Giovannelli A, Cantini C, Centritto M (2014) Assessing gas exchange, sap flow and water relations using tree canopy spectral reflectance indices in irrigated and rainfed Olea europaea L. Environ Exp Bot 99:43–52. https://doi.org/10.1016/j.envexpbot.2013.10.008


Molina MO, Sánchez E, Gutiérrez C (2020) Future heat waves over the Mediterranean from an Euro-CORDEX regional climate model ensemble. Sci Rep 10:8801


Methenni K, Ben Abdallah M, Nouairi I, Smaoui A, Ammar WB, Zarrouk M, Ben Youssef N (2018) Salicylic acid and calcium pretreatments alleviate the toxic effect of salinity in the Oueslati olive variety. Scientia Hortic 233:349–358. https://doi.org/10.1016/J.SCIENTA.2018.01.060


Mousavi S, Regni L, Bocchini M, Mariotti R, Cultrera NGM, Mancuso S, Googlani J, Chakerolhosseini MR, Guerrero C, Albertini E et al (2019) Physiological, epigenetic and genetic regulation in some olive cultivars under salt stress. Sci Rep 9:1093. https://doi.org/10.1038/s41598-018-37496-5


Neocleous D, Vasilakakis M (2007) Effects of NaCl stress on red raspberry (Rubus idaeus L. ‘Autumn Bliss’). Sci Hortic 112:282–289. https://doi.org/10.1016/J.SCIENTA.2006.12.025


Nemeskéri E, Molnár K, Helyes L (2018) Relationships of spectral traits with yield and nutritional quality of snap beans (Phaseolus vulgaris L.) in dry seasons. Arch Agron Soil Sci 64:1222–1239. https://doi.org/10.1080/03650340.2017.1420903


Peñuelas J, Filella I, Biel C, Serrano L, Savé R (1993) The reflectance at the 950–970 nm region as an indicator of plant water status. Int J Remote Sens 14:1887–1905. https://doi.org/10.1080/01431169308954010


Perez-Martin A, Michelazzo C, Torres-Ruiz JM, Flexas J, Fernández JE, Sebastiani L, Diaz-Espejo A (2014) Regulation of photosynthesis and stomatal and mesophyll conductance under water stress and recovery in olive trees: correlation with gene expression of carbonic anhydrase and aquaporins. J Exp Bot 65:3143–3156. https://doi.org/10.1093/jxb/eru160


Proietti P, Nasini L, Del Buono D, D’Amato R, Tedeschini E, Businelli D (2013) Selenium protects olive (Olea europaea L.) from drought stress. Sci Hortic 164:165–171. https://doi.org/10.1016/J.SCIENTA.2013.09.034


Rallo G, Minacapilli M, Ciraolo G (2014) Detecting crop water status in mature olive groves using vegetation spectral measurements. Biosyst Eng 128:52–68. https://doi.org/10.1016/J.BIOSYSTEMSENG.2014.08.012


Rugini E, Fedeli E (1990) Olive (Olea europaea L.) as an oilseed crop. In: Bajaj YPS (ed) Biotechnology in agriculture and legume and oilseed crops I, Vol. 1. Springer, Berlin, pp 593–641. https://doi.org/10.1007/978-3-642-74448-8_29


Rouse JW, Haas RH, Schell JA, Deering DW (1973) Monitoring the vernal advancement and retrogradation (Green wave effect) of natural vegetation


Saadatmand AR, Banihashemi Z, Maftoun M, Sepaskhah AR (2007) Interactive effect of soil salinity and water stress on growth and chemical compositions of pistachio nut tree. J Plant Nutr 30:2037–2050. https://doi.org/10.1080/01904160701700483


Sepulcre-Cantó PJ, Zarco-Tejada PJ, Jiménez-Muñoz JA, Sobrino MA, Soriano E, Fereres E, Vega MP (2007) Monitoring yield and fruit quality parameters in open-canopy tree crops under water stress. Implications for ASTER. Remote Sens Environ. https://doi.org/10.1016/j.rse.2006.09.014


Smigaj M, Gaulton R, Suárez JC, Barr SL (2019) Canopy temperature from an unmanned aerial vehicle as an indicator of tree stress associated with red band needle blight severity. For Ecol Manage 433:699–708. https://doi.org/10.1016/J.FORECO.2018.11.032


Sun P, Wahbi S, Tsonev T, Haworth M, Liu S, Centritto M (2014) On the use of leaf spectral indices to assess water status and photosynthetic limitations in Olea europaea L. during water-stress and recovery. PLoS ONE 9(8):e105165. https://doi.org/10.1371/journal.pone.0105165


Tabatabaei SJ (2006) Effects of salinity and N on the growth, photosynthesis and N status of olive (Olea europaea L.) trees. Sci Hortic 108:432–438. https://doi.org/10.1016/J.SCIENTA.2006.02.016


Tanveer M, Shabala S (2018) Targeting redox regulatory mechanisms for salinity stress tolerance in crops. Salinity responses and tolerance in plants, volume 1. Springer, Cham, pp 213–234


Trabelsi L, Gargouri K, Ben Hassena A, Mbadra C, Ghrab M, Ncube B, Van Staden J, Gargouri R (2019) Impact of drought and salinity on olive water status and physiological performance in an arid climate. Agric Water Manage 213:749–759. https://doi.org/10.1016/j.agwat.2018.11.025


Ulbrich U, Xoplaki E, Dobricic S, García-Herrera R, Lionello P, Adani M, Baldi M, Barriopedro D, Coccimiglio P, Dalu G et al (2013) Past and current climate changes in the Mediterranean region. Adv Glob Change Res 50:9–51


Vemanna RS, Babitha KC, Solanki JK, Reddy AV, Sarangi SK, Udayakumar M (2017) Aldo-keto reductase-1 (AKR1) protect cellular enzymes from salt stress by detoxifying reactive cytotoxic compounds. Plant Physiol Biochem 113:177–186. https://doi.org/10.1016/J.PLAPHY.2017.02.012


Viégas RA, Silveira JAGda, Lima Junior ARde, Queiroz JE, Fausto MJM (2001) Effects of NaCl-salinity on growth and inorganic solute accumulation in young cashew plants. Revista Brasileira De Engenharia Agrícola e Ambiental 5:216–222. https://doi.org/10.1590/S1415-43662001000200007


Zarco-Tejada PJ, Camino C, Beck PSA, Calderon R, Hornero A, Hernández-Clemente R, Kattenborn T, Montes-Borrego M, Susca L, Morelli M et al (2018) Previsual symptoms of Xylella fastidiosa infection revealed in spectral plant-trait alterations. Nat Plants 4:432–439. https://doi.org/10.1038/s41477-018-0189-7


Zapolska A, Kalaitzidis C, Markakis E, Ligoxigakis E, Koubouris G (2020) Linear discriminant analysis of spectral measurements for discrimination between healthy and diseased trees of Olea europaea L. artificially infected by Fomitiporia mediterranea. Int J Remote Sens 41:5388–5398. https://doi.org/10.1080/01431161.2020.1731931


Assimakopoulou A, Salmas I, Roussos PA, Nifakos K, Kalogeropoulos P, Kostelenos G (2017) Salt tolerance evaluation of nine indigenous Greek olive cultivars. J Plant Nutr 40:1099–1110. https://doi.org/10.1080/01904167.2016.1264419


Gennaro SFDI, Battiston E, Marco SDI, Facini O, Matese A, Nocentini M, Palliotti A, Mugnai L (2016) Unmanned Aerial Vehicle (UAV)-based remote sensing to monitor grapevine leaf stripe disease within a vineyard affected by esca complex. Phytopathol Mediterr 55:262–275. https://doi.org/10.14601/phytopathol_mediterr-18312


Giorgi F. Climate change hot-spots. Geophys Res Lett. 2006, 33:L08707. https://doi.org/10.1029/2006GL025734


Machado, M.L.; Pinto, F. de A.C.; Paula Junior, T.J. de; Queiroz, D.M. de; Cerqueira, O. de A.T.; Machado, M.L.; Pinto, F. de A.C.; Paula Junior, T.J. de; Queiroz, D.M. de; Cerqueira, O. de A.T. White mold detection in common beans through leaf reflectance spectroscopy. Eng. Agrícola 2015, 35, 1117–1126. https://doi.org/10.1590/1809-4430-Eng.Agric.v35n6p1117-1126/2015


Mahlein A-K, Rumpf T, Welke P, Dehne H-W, Plümer L, Steiner U, Oerke E-C (2013) Development of spectral indices for detecting and identifying plant diseases. Remote Sens Environ 128:21–30. https://doi.org/10.1016/J.RSE.2012.09.019


Martínez-Martínez V, Gomez-Gil J, Machado ML, Pinto FAC (2018) Leaf and canopy reflectance spectrometry applied to the estimation of angular leaf spot disease severity of common bean crops. PLoS ONE 13:e0196072. https://doi.org/10.1371/journal.pone.0196072


MirzaieM, Darvishzadeh R, Shakiba A, Matkan AA, Atzberger C, Skidmore A (2014) Comparative analysis of different uni- and multi-variate methods for estimation of vegetation water content using hyper-spectral measurements. Int J Appl Earth Obs Geoinf 26:1–11. https://doi.org/10.1016/J.JAG.2013.04.004


Roussos PA, Assimakopoulou A, Nikoloudi A, Salmas I, Nifakos K, Kalogeropoulos P, Kostelenos G (2017) Intra- and inter-cultivar impacts of salinity stress on leaf photosynthetic performance, carbohydrates and nutrient content of nine indigenous Greek olive cultivars. Acta Physiol Plant 39:136. https://doi.org/10.1007/s11738-017-2431-8


Savitzky, A.; Golay, M.J.E. Smoothing and differentiation of data by simplified least squares procedures. Anal. Chem. 1964, 36, 1627–1639. https://doi.org/10.1021/ac60214a047s


Sims DA, Gamon JA (2002) Relationships between leaf pigment content and spectral reflectance across a wide range of species, leaf structures and developmental stages. Remote Sens Environ 81:337–354. https://www.sciencedirect.com/science/article/abs/pii/S003442570200010X


Suárez L, Zarco-Tejada PJ, Berni JAJ, González-Dugo V, Fereres E (2009) Modelling PRI for water stress detection using radiative transfer models. Remote Sens Environ 113:730–744. https://doi.org/10.1016/J.RSE.2008.12.001


Tavakkoli E, Rengasamy P, McDonald GK (2010) High concentrations of Na+ and Cl– ions in soil solution have simultaneous detrimental effects on growth of faba bean under salinity stress. J Exp Bot 61:4449–4459. https://doi.org/10.1093/jxb/erq251

 


Author Information


Department of Geoinformation in Environmental Management, Mediterranean Agronomic Institute of Chania, Chania, Greece